News
-
Error prevention by pharmacist dashboard
Monday | Mar 4 2019A NEW pharmacist-led dashboard intervention has been shown to help in preventing hazardous prescribing in primary care settings.
-
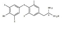
Naturopathy danger
Monday | Mar 4 2019PRACTISING GP Associate Professor Vicki Kotsirilos reports on a case of an active 73 year old man whose excess iodine intake, recommended by his naturopath, induced thyroid dysfunction resulting in fatigue.
-
E-cigs vitamin source?
Monday | Mar 4 2019DESPITE growing controversy surrounding the use of e-cigarettes or vaping, some companies are marketing their products with unsubstantiated claims that their e-cigarettes are "vitamin delivery devices" and "weight management aids".
-
Pharmacists fear business future
Monday | Mar 4 2019THE National Pharmacy Association (NPA) found that more than half its members are worried about their businesses' survival, according to an NPA survey reported in the Pharmaceutical Journal.
-
Vit D & infant brains
Monday | Mar 4 2019NEURODEVELOPMENT in infants has previously been inconclusively associated with maternal levels of vitamin D, however now a new research review paper confirms a clear association.
-
Shingles vax contras
Monday | Mar 4 2019AS MORE baby boomers reach their 70s, qualifying them for the shingles vaccine Zostavax under the National Immunisation Program, the NSW Department of Health reminds health professionals and consumers of the contraindications to it's administration.
-
Vitamin E protective
Monday | Mar 4 2019FINDINGS from a recent study suggest a potential protective action of a Vitamin E rich diet against the risk of Parkinson's Disease and other neurodegenerative diseases.
-
Dispensary Corner 04 Mar 19
Monday | Mar 4 2019VIAGRA may be facing a new challenger, from a spider.
-
Compounding confusion
Friday | Mar 1 2019SOME pharmacies in Victoria have been carrying out complex compounding in circumstances that do not meet guidelines and/or legislative requirements, the Victorian Pharmacy Authority (VPA) has said in its latest Communiqu.
-
Amcal Guardian reveal
Friday | Mar 1 2019SIGMA Healthcare's Amcal and Guardian Pharmacies have announced they will use their upcoming annual two-day retail conference to unveil new projects and models that resonate with 'pharmacies of the future.